Platz 13: Grünbach nur daheim mehr als ordentlich
- Updated: 7. November 2018
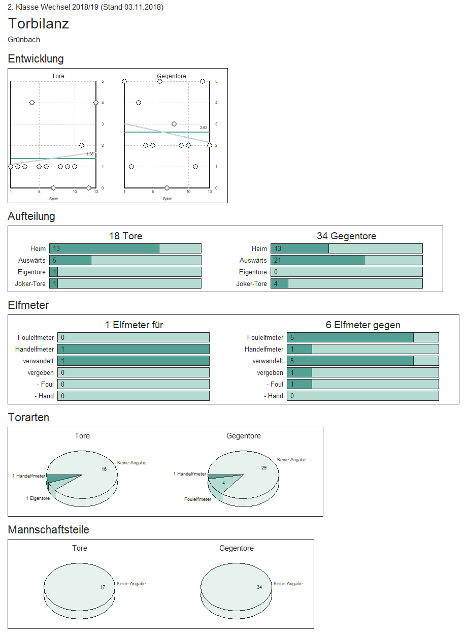
Für die Grünbacher reichte es zum Ende der Hinrunde nur zum 13. und vorletzten Platz. Vor allem die Auswärtsschwäche war zu guter Letzt entscheidend, warum nicht mehr möglich war. Der SVG war schon vor Beginn der Saison 12 Auswärtspartien sieglos, die Misere sollte sich dann auch im Herbst fortsetzen. Schon zum Auftakt ließ man sich von Schlöglmühl-Goalgetter Nedeljkovic vier Stück einschenken. Zumindest ein Tor schoss man auch in Natschbach, Ternitz, Willendorf und Hochneukirchen, was aber trotzdem zu wenig war. Bei sämtlichen Niederlagen wäre bei günstigem Spielverlauf und ein wenig mehr Konsequenz vor dem gegnerischen Tor mehr drin gewesen. Im letzten Auswärtsspiel kassierte man in Neunkirchen in den letzten 20 Minuten vier Gegentore. Die Auswärtsmisere damit abgehakt. Wenigstens lief es in den Heimspielen durchwegs mehr als ordentlich. Nur gegen Howodo war man chancenlos, gegen Pottschach verlor man nur knapp, ansonsten verkaufte man sich vor allem gegen die Topteams der Liga ausgezeichnet. St. Egyden und Scheiblingkirchen konnte mit Kampf und Leidenschaft ein Unentschieden abgerungen werden. Gegen Mönichkirchen landete man einen überraschenden Heimsieg. Der erste Dreier der Saison wurde gegen Schottwien errungen, der letzte (erneut 4:2) im Derby gegen Puchberg vor großer Zuschauerkulisse. Mit 18 Toren erzielte man die zweitwenigsten, auch weil die ungarischen Legionäre Andras Stadler (zu Saisonbeginn verletzt) und Gyula Lengyel (ab Mitte der Saison nicht mehr dabei) zu streichen waren. Hinten zeigte Goalie Martin Skarek einmal mehr, dass er einer der besten Schlussmänner der Liga ist. Der Derbysieg zum Saisonende ließ den Vorsprung auf die Rote Laterne auf fünf Punkte anwachsen, der Kontakt zum hinteren Tabellenmittelfeld ist halbwegs hergestellt. Sollen es im Frühjahr mehr als elf Punkte werden, wird man auch den Auswärtskomplex (letzter Sieg im Juni 2017) endlich wieder ablegen müssen.
ALLE SPIELE
1 A SML 1:5 (0:1 2., zur Pause bereits 0:3 hinten, am Ende schwachen Tag erwischt)
2 H EGY 1:1 (mannschaftlich top, 1:0 16., ab 50. zu zehnt, 1:1 65., zweite Rote 89.)
3 A NAT 1:4 (1:1 17., mehr Ballbesitz, harter 11er 1:2 32., 2.HZ in Überzahl ausgekontert)
4 H SOW 4:2 (1:1 zur Pause, 2.HZ auf 3:1 davongezogen, nach 3:2 80. gleich 4:2 82.)
5 A TER 1:2 (1.HZ besser, 1:0 24., 2.HZ harter 11er 1:1 57., 1:2 68., bittere Niederlage)
6 H HOW 1:5 (2 Fehler 15.+40. 0:2, 0:3 66. entscheidend, wenig entgegenzusetzen)
7 H SK 0:0 (leidenschaftlich verteidigt, selbst Latte 30., Goalie Skarek überragend)
8 A WIL 1:3 (1.HZ Topchancen aber 0:0, nach 0:1 50. in Unterzahl Kontrolle verloren)
9 H POT 1:2 (0:1 7., danach bessere Chancen, nach 1:2 75. gedrückt, aber nicht zwingend)
10 A HNK 1:2 (gut im Spiel, 42.+43. 0:2, 1:2 60., mehr trotz Überzahl nicht mehr drin)
11 H MÖN 2:1 (0:1 2., zurückgekämpft, Spiel mit 28.+65. gedreht, Druck standgehalten)
12 A NK 0:5 (0:1 18., danach gut dabei, nach 0:2 70. aber leider noch eingebrochen)
13 H PUC 4:2 (1:0 6., 2.HZ Trimmel-Hattrick zum 4:1, Gegnerfehler eiskalt ausgenutzt)




























































