Platz 9: Willendorf hadert mit zu vielen Gegentoren

Kopie von DSC_1507

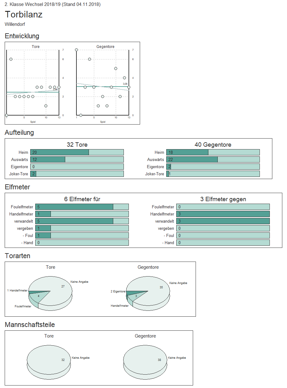
Der SV Willendorf verzeichnete im Vergleich zur letzten Saison einen leichten Rückfall. Kassierte man in der gesamten letzten Saison nur 44 Gegentore, musste man allein in der heurigen Hinrunde 40 Stück einstecken. Nur einmal, in Runde 2, blieb man ohne Gegentor. Ansonsten ließ die Defensivschwäche das Pendel oft in die negative Richtung ausschlagen. Zu Gute halten muss man der Truppe, dass man die eigene Torquote steigern konnte. Der Auftakt missraten: In Neunkirchen kassierte der SVW ein 0:7-Debakel, das aber am Wochenende darauf sofort korrigiert wurde, Puchberg wurde mit 6:0 abgeschossen. Dennoch fiel der Start in die Saison unzufriedenstellend aus. In den ersten fünf Partien setzte es vier Niederlagen. Gegen Schlöglmühl, St. Egyden und Natschbach schoss man zwar sechs Tore, kassierte aber auch 12. Mit dem 2:1-Heimsieg im Nachzüglerduell gegen Schottwien wurde es besser, auch wenn man der Mannschaft die Verunsicherung anmerkte und man eher glücklich zu den drei Punkten kam. Es folgte die beste Phase der Petelean-Elf. In Ternitz und Scheiblingkirchen erkämpfte man sich die einzigen beiden Auswärtszähler der Hinrunde, wobei man vor allem mit dem Spiel in Scheibling haderte, als man den 3:3-Ausgleich erst in der vierten Minute der Nachspielzeit hinnehmen musste. Dazwischen wurde Grünbach mit 3:1 gebogen. Es folgte mit dem 1:5-Heimdebakel gegen Howodo ein weiteres Streichresultat, dafür freute man sich umso mehr über den in der zweiten Hälfte erkämpften 3:2-Heimsieg gegen Pottschach. Noch einmal kostete ein spätes Gegentor in Hochneukirchen einen Punkt, den man sich im letzten Saisonspiel zurückholte. Gegen Mönich gelang das 3:3 in der 88. Minute. Der SVW führt zur Saisonhalbzeit das untere Ligadrittel an. Ob man im Frühjahr Anschluss ans Tabellenmittelfeld herstellen kann, wird davon abhängen, wie stabil sich der Defensivverbund in der Rückrunde präsentieren wird…

 

ALLE SPIELE

1 A NK 0:7 (0:1 8., bis 30. noch wacker, dann aber an die Wand gespielt, Pause 0:4, am Ende gleich 0:7)

2 H PUC 6:0 (90 Minuten lang überlegen, HZ 1:0, nach Wiederbeginn noch dominanter und 5 Tore)

3 A SML 2:3 (0:1 9., Partie gedreht, 2:1 35., Pause 2:2, 2:3 56., danach fehlte Kreativität für Ausgleich)

4 H EGY 2:6 (1:1-Ausgleich 15., danach unterlegen, Pause 1:2, 2.HZ chancenlos und hohe Niederlage)

5 A NAT 2:3 (0:1 2., danach besser und 1:1 20., 65. sogar 2:1, Abseitstor zum 3:1, 71.+75. zum 2:3)

6 H SOW 2:1 (0:1 18., schwer getan, 1:1 35.E, Gegner initiativer, dennoch 2:1 65., im Finish gezittert)

7 A TER 2:2 (0:1 Eigentor 23., 1:1 29.E, danach besser, 2:1 58. verdient, 2:2 70. umstrittener Elferpfiff)

8 H GRÜ 3:1 (1.HZ unterlegen aber Pause 0:0, nach 1:0 50. in Überzahl nachgelegt zum 3:0 58.+70.)

9 A SK 3:3 (Gegner machte Spiel, SVW konterte, 2:1 durch 44.+45., 3:2 62., 3:3-Ausgleich 94. kassiert)

10 H HOW 1:5 (0:1 16., schwach gespielt, Doppelschlag 59.+61. entscheidend, am Ende klar verloren)

11 H POT 3:2 (1.HZ eher schwächer und 0:1 hinten, nach Pause 50.+55.+61. 3 Tore zur Entscheidung)

12 A HNK 3:4 (4x in Rückstand, aber nur 3x ausgeglichen, bei 2:3 11er verschossen, 3:4 92. kassiert)

13 H MÖN 3:3 (1:1 nach 11, zur Pause 2:1 vorne, Doppelschlag 78.+79. zum 2:3, 3:3-Ausgleich 88.)

wil1 wil2 wil3 wil4 wil5 wil6 wil7 wil8

Use Facebook to Comment on this Post

Dein Kommentar ...

Deine E-Mail-Adresse wird nicht veröffentlicht.


× 3 = zwanzig vier

Du kannst folgende HTML-Tags benutzen: <a href="" title=""> <abbr title=""> <acronym title=""> <b> <blockquote cite=""> <cite> <code> <del datetime=""> <em> <i> <q cite=""> <strike> <strong>