Pottschach: Aufsteiger schaffte Sensation
- Updated: 2. Dezember 2015
In Wirklichkeit glaubte niemand daran, dass der SVSF nach dem Meistertitel in der 2. Klasse Wechsel auch in der 1. Klasse am Ende ganz oben stehen würde. Personell kaum verändert gelang der Auftakt in die Saison nach Maß. Fünf Siege und zwei Remis in den ersten sieben Runden ließen die Bock-Elf von Beginn an an der Spitze stehen. Erst mit dem 2:2-Heimremis gegen Aspang (nach 2:0-Führung) kam etwas Sand ins Getriebe. Mit dem 1:4 in Bad Fischau folgte das einzige Streichresultat der Hinrunde. Die Leistungen waren in der Folge zwar nicht berauschend, dennoch hielt man sich hartnäcktig an der Spitze, auch weil man vor allem in den Schlussphasen immer wieder wichtige Tore erzielte. Bestes Beispiel war das Derby in Hirschwang, als man eine halbe Stunde vor Schluss noch mit 0.3 zurücklag und in der 93. Minute einen Punkt rettete. Das letzte Highlight bedeutete sicher die zweite Halbzeit in Wiesmath, als man die imposante Heimserie des Gegners eindrucksvoll beenden konnte. Mit dem 3:1-Heimsieg über Weissenbach lag der Herbstmeistertitel in trockenen Tüchern. Man darf gespannt sein, wie sich der SVSF in der Rückrunde tun wird. Ein weiterer Aufstieg würde eine der größten Sensationen der Vereinsgeschichte bedeuten…
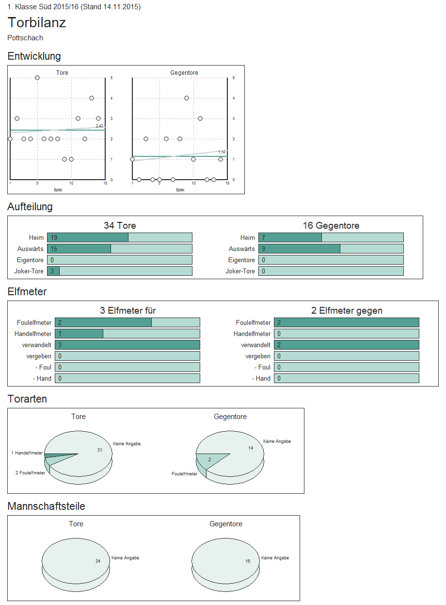
Spezielles: 6x hinten gelegen und nur einmal verloren; bestes Heimteam; zweite Halbzeit ligastärkstes Team; in der Anfangsviertelstunde schwächstes Team der Liga; bestes Team zwischen 31. und 45., 61. und 75. sowie 76. bis 90. Minute; 5:0 gegen Howodo war höchster Sieg der 1. Klasse Süd; Slobodan Mazic mit 18 Assists bester Vorbereiter; als eines von drei Teams keinen Platzverweis kassiert; Kevin Senft mit 11 Auswechslungen meistausgetauschter Spieler der Liga.
Alle Spiele
WIN-H 2:1 (Gäste mehr Ballbesitz, 1:0 15., 2:0 86., am Ende nach 2:1 noch gezittert)
SOL-A 3:0 (zunächst Mühe gehabt, ab dem 1:0 34. kontrolliert und trocken heimgespielt)
LEO-A 2:2 (alle vier Tore in HZ1, 1:0 vorne, 1:2 hinten, 2.HZ Matchball zum Sieg vergeben)
GRI-H 2:0 (1.HZ Vorteile für Gäste, nach 1:0 58. zwei Sitzer für Gegner, 2:0 68. entscheidend)
HOW-H 5:0 (ausgeglichene 1.HZ, durch Doppelschlag 1:0 45. und 2:0 46. in Rausch gespielt)
PIT-H 2:2 (0:2 nach 15 Minuten, 1:2 vor der Pause, 2:2 56., danach offener Schlagabtausch)
EBR-A 2:0 (70 Min. lang unterlegen, in Überzahl 1:0 69., Konter zum 2:0, glücklicher Sieg)
ASP-H 2:2 (Elfer 1:0 37., nach 2:0 47. zu sicher, Gäste gleich noch verdient zum 2:2 aus)
BFI-A 1:4 (0:2 nach 9 Minuten, 0:3 zur Pause, danach gesteigert, insgesamt aber katastrophal)
KRU-H 1:1 (Stangentreffer 1., danach Gäste mit Vorteilen, 0:1 36., 1:1 51., mit Punkt zufrieden)
HIR-A 3:3 (0:2 nach schwacher 1.HZ, 0:3 57., bis zur 88. 1:3 hinten, Bock-Triplepack bringt 3:3)
OWD-H 2:0 (68 Minuten lang überlegen, 1:0-Führung zu wenig, in Überzahl gezittert, 2:0 93.)
WIE-A 4:0 (1.HZ nur reagiert, mit dem 1:0 62. Kommando übernommen und Gegner bestraft)
WSS-H 3:1 (frühes 0:1 9., ab 1:1 38. Kontrolle erlangt, zweite Halbzeit besser gewesen, 3:1 80.)




























































